QT-Intervall, korrigiertes QT-Intervall (QTc), Long QT-Syndrom (LQTS) und Torsades de Pointes (TdP)
1. Grundlagen und Definition
Das QT-Intervall im Elektrokardiogramm (EKG) misst die Zeit vom Beginn der Q-Welle bis zum Ende der T-Welle und reflektiert damit die Dauer der ventrikulären Depolarisation und Repolarisation. Da die Repolarisationsdauer von der Herzfrequenz beeinflusst wird — bei höherer Frequenz verkürzt sich das QT-Intervall, bei niedriger Frequenz verlängert es sich — ist eine Standardisierung unerlässlich. Das korrigierte QT-Intervall (QTc) wird daher berechnet, um das QT-Intervall auf eine Herzfrequenz von ca. 60 bpm zu standardisieren.
2. Zweck der Korrektur des QT-Intervalls für die Herzfrequenz
Die Herzfrequenz beeinflusst die QT-Dauer maßgeblich — deshalb erlaubt das QTc eine bessere Vergleichbarkeit zwischen unterschiedlichen Herzfrequenzen und über die Zeit hinweg. Ohne Korrektur bestünde das Risiko, eine verlängerte Repolarisation bei Bradykardie oder eine vermeintlich normale QT-Zeit bei Tachykardie zu übersehen. Durch QTc wird der Einfluss der Herzfrequenz weitgehend eliminiert und damit eine zuverlässigere Abschätzung der Repolarisationsdauer ermöglicht.
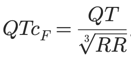
3. Formeln zur QT-Korrektur
Mehrere Formeln zur Berechnung des QTc sind etabliert:
Bazett:

Fridericia:

Framingham (Sagie-Formel):

Hodges:

Die Wahl der Formel sollte auf den klinischen Kontext abgestimmt sein, insbesondere bei Herzfrequenzen außerhalb des Bereichs von 60–100 bpm.
4. Messmethodik im EKG
Die Genauigkeit der Messung ist entscheidend: Üblicherweise wird das QT-Intervall in Ableitung II oder V5/V6 gemessen; bei T-Wellen mit U-Wellen-Überlappung ist die Bestimmung des Endes der T-Welle kritisch (z. B. Tangenten-Methode). Kleinere U-Wellen, die deutlich vom T-Ende getrennt sind, dürfen beim QT-Intervall ausgelassen werden; große U-Wellen mit Fusion sind mit zu messen.
5. Normwerte, Verlängerung und Verkürzung
Typische Obergrenzen für das QTc: bei Männern etwa 440 ms, bei Frauen etwa 460 ms — Werte über 500 ms gelten als deutlich erhöhtes Risiko. Eine Verkürzung des QTc (< 350 ms) ist seltener, aber ebenfalls mit arrhythmogenem Risiko verbunden.
6. Long QT-Syndrom (LQTS)
Das LQTS umfasst erbliche und erworbene Formen mit verlängerter Repolarisation und damit erhöhtem Risiko für ventrikuläre Arrhythmien. Genetische Mutationen (z. B. KCNQ1, KCNH2, SCN5A) führen zu verzögerter Repolarisation. Bei erworbenen Formen spielen Medikamente, Elektrolytstörungen (Hypokaliämie, Hypomagnesiämie), Bradykardie oder strukturelle Herzerkrankungen eine Rolle. Ein QTc ≥ 480 ms oder ≥ 460 ms bei Symptomen gilt gemäß aktuellen Empfehlungen als diagnostisch starker Hinweis.
7. Torsades de Pointes (TdP)
TdP ist eine polymorphe ventrikuläre Tachykardie, charakterisiert durch wechselnde QRS-Richtungen („twisting of the points“) und assoziiert mit verlängertem QTc. Auslöser sind frühe Nachdepolarisationen (early after-depolarizations) und R-on-T-Ereignisse in einer vulnerablen Repolarisationsphase. Das Risiko wird durch QT-Verlängerung, Elektrolytstörungen, Medikamente und Bradykardie erhöht.
8. Klinische Bedeutung und Risiken der QT-Verlängerung
Verlängerte QTc-Zeiten sind mit erhöhtem Risiko für Herzrhythmusstörungen, plötzlichen Herztod sowie kardiovaskuläre Ereignisse verbunden. Eine kürzlich veröffentlichte Studie zeigte signifikante Assoziationen zwischen QTc-Verlängerung und Mortalität bei Herz- und Gefäßerkrankungen. Eine erhöhte QT-Dispersion (Unterschied zwischen maximalem und minimalem QT in verschiedenen Ableitungen) gilt als zusätzlicher Risikofaktor.
9. Ursachen und Trigger einer QT-Verlängerung
Häufige Ursachen sind:
- Medikamente mit QT-verlängernder Wirkung (z. B. Antiarrhythmika, Antipsychotika, bestimmte Antibiotika)
- Elektrolytstörungen (Hypokaliämie, Hypomagnesiämie, Hypokalzämie)
- Bradykardie, Autonomiestörungen
- Strukturelle Herzerkrankung und Ischämie
- Genetische Formen (siehe LQTS)
10. Therapeutische Implikationen und Monitoring
Bei diagnostizierter QT-Verlängerung ist Folgendes angezeigt:
- Systematische Einnahmeprüfung auf QT-verlängernde Medikamente
- Korrektur von Elektrolytstörungen
- Kontrolle und ggf. Vermeidung von Bradykardie
- Monitoring des QTc bei Hochrisikopatienten
- Bei Verdacht auf LQTS: spezialisierte kardiologische Betreuung, ggf. genetische Diagnostik und Defibrillatorüberlegung
11. Zusammenfassung
Das QT-Intervall und dessen Korrektur auf eine standardisierte Herzfrequenz (QTc) sind zentrale Parameter zur Beurteilung der ventrikulären Repolarisationsdauer. Eine adäquate Messung, Anwendungswahl der geeigneten Korrekturformel sowie eine korrekte Interpretation sind essenziell. Verlängerungen des QTc sind klinisch relevant und mit erhöhtem Risiko für lebensbedrohliche Arrhythmien wie TdP sowie für Mortalität assoziiert. Das Verständnis von Ursachen, Mechanismen und Implikationen ermöglicht eine gezielte Risikoabschätzung und therapeutische Steuerung.